概要
熱可塑性プラスチックの分子量や分子量分布は成形加工性に影響を与えるため、重要です。分子量や分子量分布は通常はGPC(SEC)で測定・評価されています。一方、線形粘弾性は、分子量・分子量分布といった分子の一次構造を反映しているため、線形粘弾性から分子量・分子量分布を評価する試みも良く行われています。しかしながら、様々な理由から、GPCと線形粘弾性から評価した分子量分布は必ずしも一致しません。そのため線形粘弾性をGPC測定の代替として使うことはできませんが、GPCで測定しにくい樹脂の評価や、試料間の相対的な違いを評価する(例えば、ロット管理など)には有効です。
本技術資料では、粘弾性測定結果から分子量分布を評価し、GPCによる評価結果と比較した事例を紹介します。
分析事例の紹介
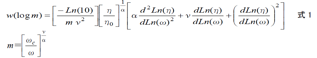
線形粘弾性から分子量分布を評価する様々な手法が提案されていますが、ここではWoodら1)によって提案されている複素粘度(η)を用いた方法(式1)を用いました。
式1
w(log m):評価した分子量分布、 m:換算分子量 、η:複素粘度、η0:ゼロずり粘度、
ω:角速度、ν:高ω側のηの傾き 、α:3.4、
ωc:高角速度側の粘度を低角速度側に外挿した際のゼロずり粘度と交点

式1を高密度ポリエチレン、低密度ポリエチレンに適用した結果を図1、2に示します。検討した結果、直鎖構造の高密度ポリエチレンに対しては、比較的単純な分子量分布であれば、式1は有効であることが分りました。一方、分岐構造をもつ低密度ポリエチレンでは、形状がGPCとは異なっており、分岐の影響があることが分ります。同種の試料について検討したところ、GPCの結果と一致するものはなかったものの、試料間の違いはGPCと同様の傾向になり、定性的な評価には有効であることが分りました。

[参考文献] 1)Wood-Adams et.al.,Macromol.,33,7481(2000)