概要
各種の金属製電子部品や自動車部品について、加工時に付着した油分を洗浄・除去することは、最終製品の汚染によるトラブル防止のために非常に重要です。これまで、部品表面の油分の定量方法としては、四塩化炭素やヘキサンなどの有機溶媒で抽出した油分を赤外吸光光度法やGC法、HPLC法などで定量する方法などが用いられてきました1)。しかし、用いる有機溶媒の安全性や、油分の抽出性能など、いくつかの問題が指摘されており、満足行く方法とは言えませんでした。
これに対して、炭化水素系油分測定用抽出剤HC-UV45(東ソー製)と液クロ用紫外可視検出器UV-8020(東ソー製)を用いた評価方法が提案されると1-4)、この方法は簡便かつ高精度であることから、現在では、HC-UV45と液クロ用紫外可視検出器を用いた定量方法が広く用いられるようになってきました。本資料では、この方法による清浄度試験について紹介します。
試験方法の詳細
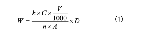
本法の例を図1に示します。油分の抽出溶剤としては、炭化水素系抽出剤のHC-UV45を用い、室温で超音波を照射して試料から油分を抽出します。油分の定量には、液クロ用紫外可視検出器(UV-8020)を用い、標準物質としてベンジルアルコールを用いて作成した検量線(図2)から、抽出液中の油分量を定量し、試料の表面積を用いて、単位表面積あたりの油の付着量を算出しました。((1)式)

① 容器に試料と一定量のHC-UV45を入れる
② 超音波照射により、試料に付着している油を抽出する
③ 抽出液を採取する
④ 紫外可視検出器に抽出液を直接注入して吸光度を測定する(測定波長:265nm)
【図1】清浄度試験方法(例)


W : 試料1個の単位面積あたりの付着油分量(mg/dm2)
k : 濃度換算係数(mg/L) (=標準溶液の濃度/標準溶液の吸光度)
C : 吸光度
V : 抽出液量(mL)
D : 希釈倍率
n : 抽出した試料の個数
A : 試料1個あたりの表面積(dm2)
なお、標準物質としてベンジルアルコールを用いた理由は、ベンジルアルコールの紫外吸収特性が多くの加工油のものと類似していること、および入手しやすく取扱いが容易なためです。
参考文献
1) 平塚豊, 産業洗浄, No.15, 42-46 (2015.4)
2) 岩部一宏, 産業洗浄, No.3, 30-36 (2009.1)
3) 東ソー(株)技術資料, UV101, “炭化水素系油分測定用抽出剤HC-UV45について”
4) 柳川敬太, デンソーテクニカルレビュー, Vol.14, 128-133 (2009)